jueves, 21 de julio de 2016

2.- Balance Diet - BMI


The BMI:

What is it?
BMI is a measure of the relative size based on the mass and height of the person, which is used to detect whether a person is underweight, overweight, obese or your weight is healthy.

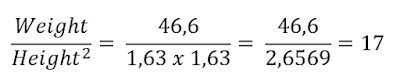
Formula:




Example:




Classification:




Webgraphy:

http://www.bbcgoodfood.com/howto/guide/balanced-diet-women





No hay comentarios:

Publicar un comentario